Akumulator AGM, XBS 12-18 (12V 18Ah M5/F13)
Akumulator MaxCell AGM, XBS - Akumulator renomowanej marki MaxCell Battery serii XBS dedykowany do aplikacji takich jak centrale alarmowe, urządzenia przenośne i szeroko pojęta automatyka. Produkt charakteryzuje się żywotnością do 5 lat, niezawodnością oraz odpornością na wstrząsy i wibracje. Dzięki zastosowaniu technologii VRLA-AGM zapewnia bezpieczeństwo użytkowania (brak ryzyka wycieku kwasu w przypadku uszkodzenia), a także bezobsługowość (brak konieczności uzupełniania elektrolitu). Dodatkowo nie wymaga zastosowania specjalnych pomieszczeń z wentylacją oraz jest przyjazny dla środowiska. Obudowa została wykonana z najwyższej jakości materiału ABS.
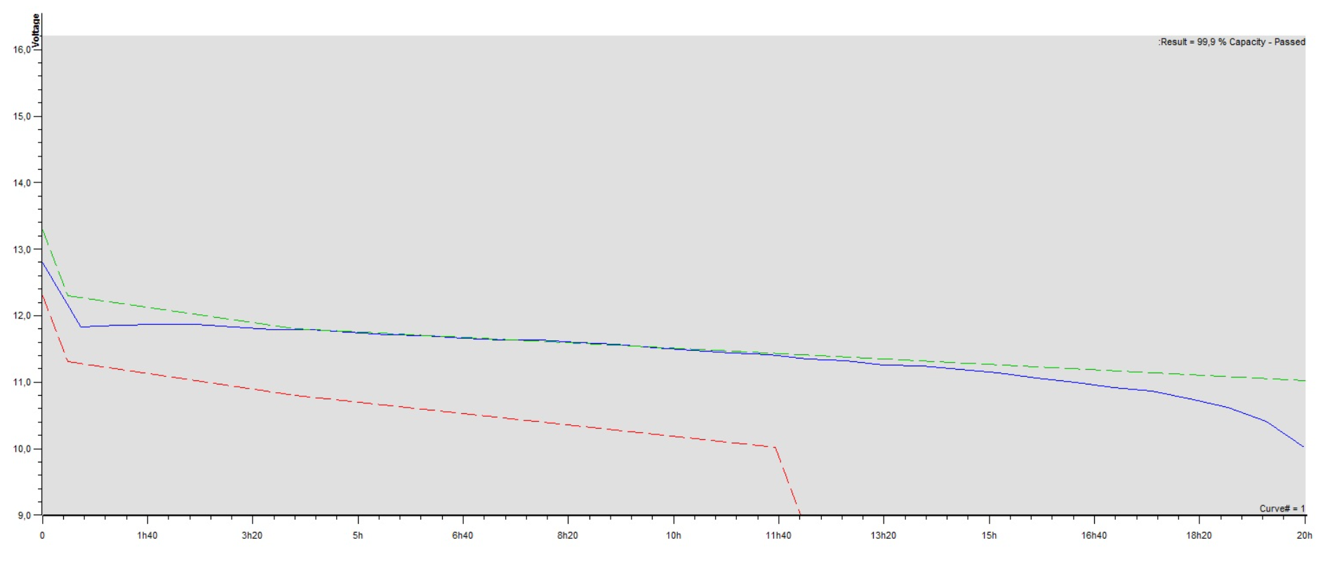
Pojemność akumulatorów MaxCell prezentuje rzeczywistą wartość zgodną z specyfikacją producenta – w przeciwieństwie do wielu innych produktów dostępnych na rynku, parametry nie są zawyżane. Każdy akumulator jest indywidualnie testowany profesjonalnym urządzeniem alfaBAT Pro, co gwarantuje rzetelność podawanych parametrów.
Pojemność (25°C):
- po 1 godzinie: 11.0Ah
- po 3 godzinach: 16.8Ah
- po 20 godzinach: 18.0Ah


Napięcie nominalne:
- 12V
Typ Terminala:
- M8/F13
Waga:
- 4.7kg
Wymiar:
- 191x77x167mm

| Producent | MaxCell |
|---|---|
| Rodzaj | VRLA |
| Technologia | AGM |
| Seria | XBS |
| Napięcie | 12V |
| Pojemność nominalna, 1.8V/cell | 20h |
| Pojemność nominalna, 25C | 18Ah |
| Złącze | M5 |
| Żywotność projektowana | 5 lat |
| Ilość cykli przy rozładowaniu 50% | 400-500 |






